



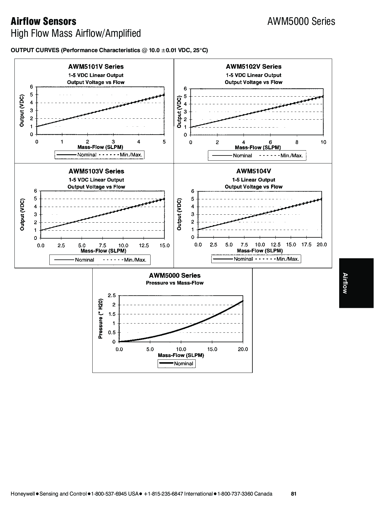
AWM5000 系列气体质量流量传感器, 放大, 流量/压力范围:0 SLPM 至 15.0 SLPM; 螺纹端口式, ¼ NPT,AWM5000 系列微桥气体质量流量传
感器采用文丘里管型流量外壳。该系列测量每分钟高达 20 标准公升/每分钟 (SLPM) 的气流,同时产生 2.25" H2O 的最大压降。2微桥芯片直接与
气流接触,大大减少了由于通气孔或旁路堵塞引起的误差。




产品找不到?
直接发需求试试!
发布需求
关于我们 法律声明 账户权限说明 网站地图 在线客服4000-189-00024小时全国服务热线
Copyright © 2019-2026 深圳市物联传媒有限公司 粤ICP备05006090号-18

扫扫微信
微信小助手为您服务







